雷达图

基础雷达图

多边形雷达图(fmsb包)

多边形雷达图+分面(fmsb包)

圆形雷达图+分面(ggiraphExtra包)

圆形雷达图+分面+外圈(ggradar包)

差异雷达图

圆形雷达图+差值比较(黄点)

云雨图

基础云雨图

小提琴图+箱式图+散点图

小提琴图+箱式图+蜂窝图

差异云雨图

差异云雨图+分位数(gghalves包)

差异云雨图+分组(gghalves包)

差异云雨图+雨滴(ggdist包)

相关性图

拟合曲线图

拟合曲线+残差箱式图(R版)

拟合曲线+残差箱式图(Python版)

相关性热图

一维变量(corrplot包)+柱形图

一维变量(seaborn库)+层次聚类(Python版)

一维变量(ggplot2包)+层次聚类

相关性气泡图

二维变量(ggplot2包)+分面

二维变量(ggplot2包)+分组

相关性矩阵图

一维变量(GGally包)+线性回归

一维变量(GGally包)+网络图

相关性网络图

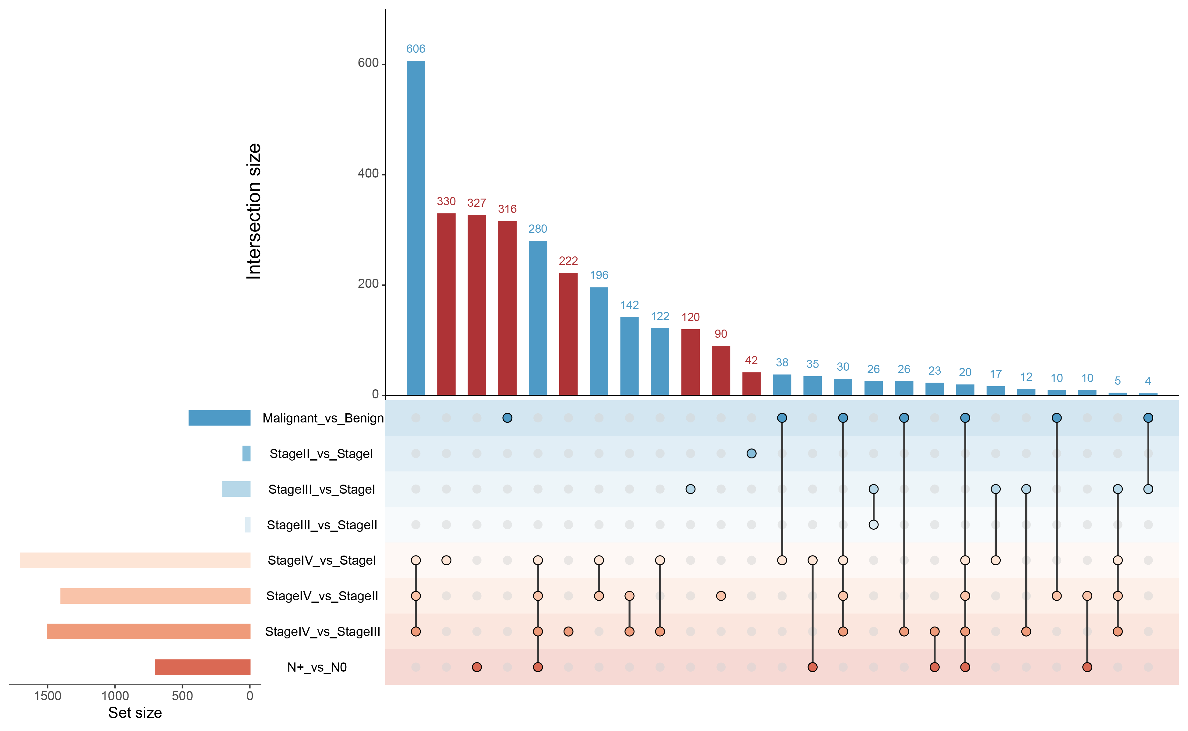
upset图/Venn图

桑基/冲击图

动态交互+渐变色+桑基图1

动态交互+渐变色+桑基图2

限制性立方样条图

限制性立方样条(RCS)分析

基因/蛋白表达图

表达热图

添加显著性星号的热图-空白行

添加显著性星号的热图-分面

差异表达图

火山图+GSEA_MSigDB富集得分

logFC-FC图

丰度差异蜂群图

丰度差异蜂群图-分面

PCoA/NMDS图

PCoA可视化+边缘箱式图

NMDS可视化+边缘箱式图

PCoA可视化+多分组边缘箱式图

系统发育树

系统发育树+热图+柱形图

系统发育树+背景高亮+分支点+热图

系统发育树+背景颜色和名称+2层热图

蝴蝶状(背靠背)图

时间序列图

时序图1:分组+误差带

时序图2:分面+误差带

时序图3:分组-分面+误差棒

时序图4:重复测量方差分析+事后检验

样本地理分布图

网络关系图

火山图+EnrichmentMap-GSEA

富集通路circos图+网络图

柱形图

基础柱形图

柱形图+t检验

分组-柱形图+方差分析+Tukey HSD(Python版)

分组-柱形图+方差分析+Tukey HSD(Python版)

分组-柱形图+方差分析+LSD

分组-柱形图+方差分析+Dunnett

堆积柱形图

环状柱形图

环状柱形图(7花瓣3柱子)

环状柱形图+误差线(7花瓣3柱子)

环状柱形图+误差线(11花瓣4柱子)

单组-渐变-环状柱形图

分组-渐变-环状柱形图

双Y轴柱形图

小提琴/箱线图

棒棒糖/哑铃图

展示样本信息的环形图

关联性-环形棒棒糖图

散点/气泡图

散点+误差线+边际图(Python版)

分组气泡图+线性拟合

分组散点图+线性/对数拟合

散点图+拟合曲线+均值+双向误差线

平滑曲线图

拟合趋势线+配对数据

折线图

折线图+柱形图(嵌套)

折线图+柱形图(组合)

环状分组折线图+显著性

山脊/峰峦图

渐变色山脊图+双向柱形图

等高线/核密度图

渐变型:等高线颜色随密度水平渐变

填充型:密度区域以不同颜色填充

联合密度图+边缘直方图(Python版)

其他未分类图

分组-和弦图+外围条形图

模型参数恢复验证图